
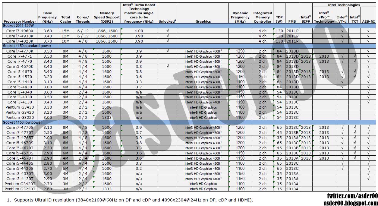
В таблице ниже также значится «пришелец» Core i7-4771 (3,5/3,9 ГГц) для систем LGA1150. Он имеет почти все те же характеристики, что и флагман серии Core i7-4770K, но в отличие от него обходится без свободного множителя.
Спецификация готовящихся процессоров Intel приведена ниже:
LGA2011:
- Core i7-4960X: 6 ядер/12 потоков, 3,6/4,0 ГГц, 15 МБ кэша L3, 130 Вт;
- Core i7-4930K: 6 ядер/12 потоков, 3,4/3,9 ГГц, 12 МБ кэша L3, 130 Вт;
- Core i7-4820K: 4 ядра/8 потоков, 3,7/3,9 ГГц, 10 МБ кэша L3, 130 Вт;
- Core i7-4771: 4 ядра/8 потоков, 3,5/3,9 ГГц, 8 МБ кэша L3, HD 4600 (1200 МГц), 84 Вт;
- Core i5-4440: 4 ядра/4 потока, 3,1/3,3 ГГц, 6 МБ кэша L3, HD 4600 (1100 МГц), 84 Вт;
- Core i3-4340: 2 ядра/4 потока, 3,6 ГГц, 4 МБ кэша L3, HD 4600 (1150 МГц), 54 Вт;
- Core i3-4330: 2 ядра/4 потока, 3,5 ГГц, 4 МБ кэша L3, HD 4600 (1150 МГц), 54 Вт;
- Core i3-4130: 2 ядра/4 потока, 3,4 ГГц, 3 МБ кэша L3, HD 4600 (1150 МГц), 54 Вт;
- Pentium G3430: 2 ядра/2 потока, 3,3 ГГц, 3 МБ кэша L3, HD (1100 МГц), 54 Вт;
- Pentium G3420: 2 ядра/2 потока, 3,2 ГГц, 3 МБ кэша L3, HD (1100 МГц), 54 Вт;
- Pentium G3220: 2 ядра/2 потока, 3,0 ГГц, 3 МБ кэша L3, HD (1100 МГц), 54 Вт.
- Core i5-4440S: 4 ядра/4 потока, 2,8/3,3 ГГц, 6 МБ кэша L3, HD 4600 (1100 МГц), 65 Вт;
- Core i3-4330T: 2 ядра/4 потока, 3,0 ГГц, 4 МБ кэша L3, HD 4600 (1150 МГц), 35 Вт;
- Core i3-4130T: 2 ядра/4 потока, 2,9 ГГц, 3 МБ кэша L3, HD 4400 (1150 МГц), 35 Вт;
- Pentium G3420T: 2 ядра/2 потока, 2,7 ГГц, 3 МБ кэша L3, HD (1100 МГц), 35 Вт;
- Pentium G3220T: 2 ядра/2 потока, 2,6 ГГц, 3 МБ кэша L3, HD (1100 МГц), 35 Вт.
Источник:
Guru3D
